[Calculus] 편미분
편미분
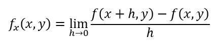
편미분 (Partial Derivative)는 다른 변수는 상수로 취급하고, 한 가지 변수로만 미분하는 것을 말한다. 앞에서 우리는 다변수함수에 대해 배웠다. 변수가 여러개일 경우 편미분을 이용하여 원하는 도함수를 얻을 수 있다. 아래는 예시는 f(x,y) 함수를 x로 미분하는 것이다. 기존의 알던 미분 공식에서 변수가 x, y로 늘어난 것이다. x로 미분한 편도함수는 아래 첨자에 x를 표시한다.

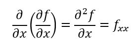
우리는 2계 미분을 사용하곤 한다. 편미분도 당연하게 2계 편미분이 존재한다. 우리는 아래와 같은 기호들로 나타낸다.

오일러 정리
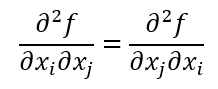
우리는 변수가 2개일 때 2계 편미분을 총 4개를 구할 수 있다. (fxx, fxy, fyx, fyy) 직접 구해보면 알겠지만 많은 경우 fxy와 fyx가 같다. 이는 f의 2계 편도함수가 연속일 때만 성립한다. 이를 오일러 정리로 정의할 수 있다. 열린집합에서 정의된 다변수 함수 f의 모든 이계 편도함수가 연속일 때 아래 식을 만족한다.

편미분 방정식
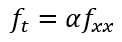
방정식에 편도함수가 포함되어 있으면 그 방정식을 편미분 방정식이라고 한다. 물리학을 공부하다보면 편미분 방정식을 많이 마주하게 된다. 대표적인 4가지 예가 다음과 같다.




편미분 자체는 풀이가 간단하다. 하지만 여기서 중요한 것은 편미분이 어떠한 의미를 가지는가 이다. 편미분을 통해 내가 원하는 변수의 방향으로 순간 기울기, 곡선의 형태를 확인할 수 있다. 다변수함수의 경우 그래프를 그리는 것이 어렵고, 개형을 아는 것이 어렵기 때문에 내가 원하는 방향의 기울기를 찾는 것이 도움이 될 때가 많다.
참고 서적: 반전학습을 위한 다변수 미적분학(경문사)