[선형대수학] The Matrix Equation
The Matrix Equation
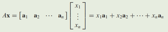
Matrix Equation의 기본적인 아이디어는 Vector의 Linear Combination을 Matrix의 곱 연산으로 표현할 수 있다는 것이다. 만약 A가 mxn Matrix이고, Column이 a1, ... , an으로 이루어져 있고, x는 Rn의 벡터라면 Ax는 x의 Entry를 계수로 하는 A의 Column Vector의 Linear Combination이고 아래와 같이 표현할 수 있다.

그럼 이제 Matrix Equation을 앞에서 배운 개념과 연관 지어 보자. A와 x는 위와 같고, b가 m차원 벡터라면, Matrix Equation을 Ax = b라고 말할 수 있다. 이는 또한 위의 개념을 이용하여 vector equation 형식으로 다음과 같이 정리가 가능하다.

그리고 이 식은 앞에서 배웠듯이 Linear Equation의 Augmented Matrix와 같은 Solution을 가진다.

이것을 통해 우리는 이제 System of Linear Equations의 3가지 형태를 만들 수 있다. Matrix Equation, Vector Equation, System of Linear Equation으로 표현할 수 있다. 그리고 결국 문제를 푸는 방법은 Row Reducing the Augmented Matrix이다.
Existence of Solutions
이제 Matrix Equation의 해의 유무를 찾을 것이다. Ax = b의 Solution은 b가 A의 Column Vector의 Linear Combination이면 존재한다. 다음과 같은 예시를 통해 확인해보자.

이때 Ax = b를 만족하는 b1, b2, b3가 존재하는지 확인하는 것이다. 문제를 풀 때에는 자동적으로 Augmented Matrix를 Row Reduced Echelon Form으로 바꿔줘야 한다.

4번째 Column의 3번째 Entry를 보면 이 값이 0이 아니면 해가 존재하지 않는다. 따라서 해가 존재하려면 다음과 같은 식을 만족해야 한다.

그렇다면 b의 조합은 3차원 공간의 평면과 같다.

이런 상황이 발생한 이유는 3번째 Row에 Pivot이 존재하지 않았기 때문이다. 만약에 3번째 Row에도 Pivot이 존재하였다면 모든 b에서 Solution을 가질 수 있을 것이다.
따라서 이를 정리하면, A라는 m x n Matrix가 있을 때, 다음 4개의 문장은 Logically Equivalent 하다. 즉, 4가지 모두가 참이거나 모두가 거짓인 경우만 존재한다.
1) b가 m차원 실수집합에 존재할 때, Ax = b Matrix Equation은 Solution을 가진다.
2) m차원 실수집합에 존재하는 b는 A의 Column Vector들의 Linear Combination이다.
3) A의 Column들은 m차원 실수 집합을 Span한다.
4) A는 모든 Row에 Pivot Position이 존재한다.
Computation of Ax

위의 식을 계산할 때 Matrix의 곱 연산을 이용하면 편하다는 내용을 하고 있는데, 이 글을 읽는 독자들은 모두 행렬곱을 할 수 있다고 생각된다.

이것이 기존 방법이지만, 왼쪽 Matrix의 Row와 오른쪽 Matrix의 Column을 곱해주는 방법으로 구하면 편하다는 내용이다.

Properties of the Matrix-Vector Product Ax
A가 m x n Matrix이고, u와 v가 n차원 Vector이고, c가 Scalar일 때, 두 가지 성질이 성립한다.
1) A(u + v) = Au + Av
2) A(cu) = c(Au)
이는 Matrix에 대해 이미 사전 지식이 있다면 충분히 알고 있는 내용일 것이다. 이 포스팅에서는 Matrix Equation이 무엇인지, 다른 형식으로 어떻게 표현될 수 있는지 알아보았다.
참고 문헌: Linear Algebra and Its Applications