Vector Equations
Vectors in R2
Vector에 대한 자세한 정의는 이후에 Vector Space를 정의할 때 소개하도록 하겠다. 그전까지는 Vector는 그냥 순서가 정해진 숫자의 나열이라고 생각하자. 예를 들어 R2에 존재하는 Vector를 생각해보자. Column이 1개이면 Column Vector 혹은 그냥 Vector라고 부른다. 여기서 R2는 Real Number(실수), 2는 각 Vector가 2개의 Entries를 갖고 있다는 것이다.

R2에서 Vector가 Equal 하려면 각 Entry 모두가 같아야 한다. 예를 들어서 (7, 4)와 (4, 7) Vector는 순서가 다르기 때문에 서로 다른 것이다. 벡터의 합은 다들 알겠지만, 각 Entry의 값을 더하면 된다. 편의를 위해 표기할 때 Column Vector는 (4, 7) 소괄호를 사용하고, Row Vector는 [4 7] 대괄호를 사용한다. 아래의 예시를 참고할 수 있다.

또한, Scalar 곱 연산을 할 수 있다. 각 Entry에 Scalar를 곱해주면 된다. 아래 예시를 통해 확인하자.

Geometric Descriptions of R2
이를 통해 이제 우리는 사칙연산을 할 수 있게 되었다. 그렇다면 이제 이 Vector가 기하학 관점으로 보았을 때 어떠한 의미를 가지는지 확인하고자 한다. 지금까지 우리는 R2를 예시로 들었기 때문에 2차원의 Rectangular Coordinate 혹은 Cartesian Coordinate에 표현하고자 한다. 즉, 직각좌표계를 말하는 것이다.

두 가지 방법이 존재한다. 왼쪽에 존재하는 것처럼 점으로 표시하는 것과 오른쪽에 존재하는 것처럼 화살표로 표시하는 방법이 있다. 화살표를 이용하면 Vector임을 확실하게 알 수 있다. 이때 우리는 Vector의 합을 자주 사용하는데, 기하학에서도 이것이 쉽게 보여진다. Parallelogram Rule for Addition 두 벡터가 R2에 있을 때, 두 벡터의 합은 두 벡터가 만드는 평행사변형의 네번째 점이고, 나머지 세 점은 두 벡터와 0을 의미한다. 아래 사진을 통해 확인해보자.

다음으로 아까 진행했던 Scalar 곱은 기하학에서 어떠한 변화가 있는지 확인해보자. u = (3, -1)이라고 가정하였을 때, 2u와 (-2/3) u를 확인해보자.

첫 번째 사진을 보면 알 수 있듯이 -가 붙으면 방향이 반대가 되고 Scaling이 된다. 두 번째 사진은 u의 모든 집합을 표현한 것이다. 어떠한 Scalar를 곱했을 때 가능한 모든 경우이다.
Vectors in R3
이제는 3개의 entry가 있는 Column Vector에 대해 알아볼 것이다. 3개의 경우도 2개의 경우와 비슷하다. Scalar가 곱해지면 Scaling이 되고, 3차원 공간에서 정의된다는 차이가 있다.

Vectors in Rn
이제는 2,3차원이 아니라 n차원에 대해 정의할 수 있을 것이다. nx1 Column Matrix로 정의하며, 만약 모든 Entry가 0이라면 zero vector라고 정의한다. 표기는 0으로 한다. 이제 Properties를 정의할 수 있다. 총 8개이다.
1) u + v = v + u
2) (u + v) + w = u + (v + w)
3) u + 0 = 0 + u = u
4) u + (-u) = -u + u = 0, -u는 (-1)u를 의미한다.
5) c(u + v) = cu + cv
6) (c + d)u = cu + du
7) c(du) = (cd)u
8) 1u = u
그냥 봐도 이해가 되고 당연하다고 생각될 것이다. 우리가 흔히 사용하는 사칙연산과 교환 법칙, 분배 법칙 등에 대한 내용이다. 이것이 Vector에 대해서, 특히 n차원 Vector 모두에 대해서 적용된다는 점이 중요하다.
Linear Combination
Vector y가 다른 여러 개의 벡터의 합과 scalar 곱으로 정의되는 것을 Linear Combination이라고 한다.

c는 Scalar, v는 Vector이다. 이 뜻은 v라는 Vector의 조합을 통해 만들어낼 수 있는 모든 집합이 y라는 것이다. 아래 예시를 통해 확인해보자. v1 = (-1, 1), v2 = (2, 1)이다.

위의 그림을 제외하고도 가능한 조합은 얼마든지 가능하고, 저 2차원 평면의 모든 점을 정의할 수 있다는 것을 우리는 직관적으로 알 수 있다. u의 경우 0에서 v1 방향으로 3번, -v2 방향으로 두 번 이동한 벡터라는 것을 알 수 있다.
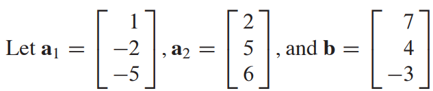
이제 Linear Combination을 통해서 앞에서 배웠던 Solution Existence에 대한 내용을 다시 정의하려고 한다. 다음 예시를 통해 확인하자.

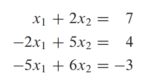
Vector는 위의 처럼 정의되고, b는 a1과 a2의 Linear Combination으로 만들어진 결과이다. 이때 x1과 x2의 Solution이 존재하는지 확인해라.

위의 식을 아래와 같이 전개할 수 있다.

이를 우리가 알던 연립방정식 형태로 전개하면 다음과 같다.

우리는 앞에서 연립방정식을 Augmented Matrix로 바꾸는 것을 이미 해보았다. 바꿔준 뒤 Row Reduced Form으로 바꿔주면 다음과 같다.

따라서 x1 = 3, x2 = 2라는 답을 얻게 된다. 그러므로 b는 x1 = 3, x2 = 2일 때, a1과 a2의 Linear Combination으로 정의될 수 있다.
우리가 위에서 풀었던 방식을 일반화해서 정리해보자. Vector Equation이 아래와 같이 정의되어 있을 때,

Solution은 아래 정의와 같은 Augmented Matrix의 Solution과 같다.

위의 Augmented Matrix의 Solution이 존재할 때, b는 a1, ... , an Vector의 Linear Combination으로 만들 수 있다고 말한다.
Span에 대한 정의를 여기서 내릴 수 있다. Span {v1, ... , vp} 은 Rn에 대해서 v1, ... , vp에 의해 Span되는 Subset이다. 즉 Span을 한국어로 정확히 번역할 수는 없겠지만, 어떠한 Subset을 구성한다, 확장한다. 등으로 해석하면 될 것 같다. 따라서 Span {v1, ... , vp}은 다음과 같이 정의되는 모든 집합이다.

이때 c1, c2, ... , cp를 통해 모든 조합이 가능해진다는 것을 잊지 않아야 한다.
A Geometric Description of Span{v} and Span{u, v}
기하학 측면에서 Span의 의미를 확인해보자.

u, v, 0 Vector가 존재한다고 가정하자. 이때 R3 차원을 이용하여 설명하도록 하겠다. 먼저 왼쪽 그림은 v의 Span이다. v가 구성할 수 있는 모든 조합은 저 방향의 직선 내에서 Scaling, 방향을 -로 바꾸는 정도일 것이다. 이제 오른쪽을 보자 Span {u, v}이다. 이때는 u와 v가 만들 수 있는 모든 조합은 저 평면이 된다.
예시를 보자.

Span {a1, a2} 가 만드는 평면에 b가 존재하는지 확인을 하고 싶을 때는 Augmented Matrix로 변환하여 확인하면 된다.

마지막 Equation이 0 = -2 이므로 Solution이 존재하지 않는다. 따라서 b는 Span {a1, a2}에 속하지 않는다.
Span에 대한 개념과 Linear Combination은 앞으로 계속 사용되기 때문에 확실히 이해하고 넘어가는 것이 중요하다.
참고 문헌: Linear Algebra and Its Applications
'Mathematics > Linear Algebra' 카테고리의 다른 글
| [선형대수학] Solution Sets of Linear Systems (4) | 2022.08.23 |
|---|---|
| [선형대수학] The Matrix Equation (0) | 2022.08.19 |
| [선형대수학] Row Reduction and Echelon Forms (0) | 2022.08.11 |
| [선형대수학] System of Linear Equations (0) | 2022.08.09 |
댓글