Solution Sets of Linear Systems
Solution Set (해집합)은 지금까지 계속 우리가 구하고 싶었던 것이다. 이 포스팅에서는 벡터를 이용한 Solution Set들을 얘기해보겠다.
Homogeneous Linear System
우리는 System of Linear Equation이 Ax = 0로 표현될 수 있을 때, Homogeneous라고 말한다. x = 0일 때, 해가 존재할 수 있으므로, 최소 1개의 Solution이 존재한다. 그리고 0 벡터가 해일 때, 이를 Trivial Solution이라고 말한다. 하지만 우리는 Nontrivial Solution이 존재하는지가 주요 관심사다. 이에 대해 확인하는 방법은 이전 포스팅에서 다뤘다. 적어도 한 개의 Free Variable이 존재하면 Homogeneous Equation인 Ax = 0은 Nontrivial Solution을 가진다.
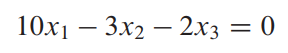
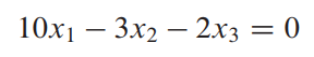
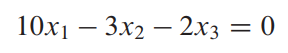
다음 예시를 통해 확인해보자. 해의 유무를 판단하고, 해를 찾으면 된다.

지금까지 문제 풀어왔던 것처럼 Augmented Matrix로 바꿔주고, Echelon Form으로 변환한다.

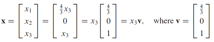
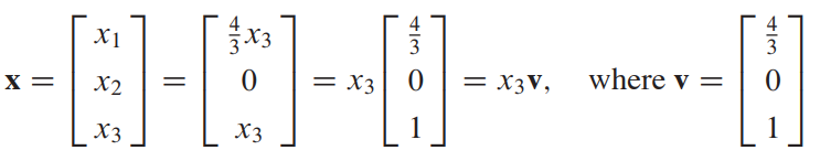
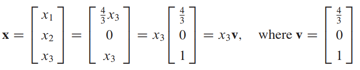
이렇게 되면 x3가 Free Variable이다. 따라서 Nontrivial Solution이 존재한다. 이를 마저 Row Reduced Echelon Form으로 정리하면,

x1을 x3에 대해서 정의할 수 있게 된다. 따라서 아래와 같이 표현이 가능하다.

Solution Set은 x3에 대해 정의될 수 있고 v 벡터에 Scalar(x3)가 곱해진 것으로 생각할 수 있다. x3 = 0일 때 Trivial Solution이 되는 것을 확인할 수 있다. 이를 그림으로 표현하면 아래와 같고, Solution Set은 v 벡터의 Span으로 생각할 수 있다.

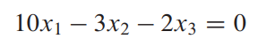
다음 예시를 확인해보자. 이번에도 Solution Set을 찾는 것인데, Homogeneous System이 Single Linear System이다.

이는 Matrix Form으로 변환할 필요 없이 x2와 x3를 Free Variable로 두면 된다.

이렇게 되면 u와 v에 x2와 x3가 곱해진 형태로 나오게 되는데, 이는 Span{u, v}로 표현할 수 있다. 이를 그림으로 표현하면 u와 v가 만드는 평면임을 알 수 있다.

Parametric Vector Form
우리는 위의 예시에서 봤던 식들을 Implicit Description과 Explicit Description으로 나눌 수 있다.

이 식은 Implicit Description이라고 말한다. 이것이 어떠한 평면을 뜻하는지 명확히 알기 어렵다.

이 식은 Explicit Description이라고 한다. 그리고 이를 Parametric Vector Equation이라고 부른다.

Solutions of Nonhomogeneous Systems
이번에는 Nonhomogeneous System의 Solution Set을 구할 것이다. 이 경우에 많은 Solution들이 존재하는데, 앞에서 본 Homogeneous Form에서 만들어지는 Parametric Vector Form에서 벡터가 하나 더해진 모습을 보인다. 다음 예시를 통해 확인해보자.

이를 Augemented Matrix로 바꾸고, Row Reduced Echelon Form으로 변환하면 다음과 같다.

우리는 x3가 Free Variable인 것을 확인할 수 있고, 이를 x3에 대해 정리할 수 있다.

우리는 이를 x = p + x3v 로 표현할 수 있다. 이는 Ax = 0인 Homogeneous Form에서 p가 추가된 모습이다. 우리는 이것을 기하학적으로 보았을 때, p가 더해지면서 translation이 일어났다고 볼 수 있다.

우리는 x = p + x3v를 v에 평행한 p를 지나는 선이라고 말할 수 있다. 따라서 이를 일반화하면 다음과 같다.

정리하면 Ax = b Equation이 b에 대해 Consistent하고, p가 Solution일 때, Ax = b의 Solution Set은 w = p + v이고, v는 Ax = 0인 Homogeneous Equation의 임의의 Solution이다.
즉 위의 말은 Ax = b 가 해가 존재하면, Ax = 0의 Solution Set을 평행이동 시킨 것과 같다는 뜻이다. 2개의 Free Variable이 있을 때, 아래와 같은 그림을 확인할 수 있다.

참고 문헌: Linear Algebra and Its Applications
'Mathematics > Linear Algebra' 카테고리의 다른 글
| [선형대수학] The Matrix Equation (0) | 2022.08.19 |
|---|---|
| [선형대수학] Vector Equations (0) | 2022.08.17 |
| [선형대수학] Row Reduction and Echelon Forms (0) | 2022.08.11 |
| [선형대수학] System of Linear Equations (0) | 2022.08.09 |
댓글