접평면과 근사식
기울기벡터(gradient)
열린 집합에서 정의된 함수 f의 점 P에서 모든 편미분이 존재할 때 이 편미분을 성분으로 하는 벡터를 기울기벡터라고 한다. 표기는 아래와 같이 나타낸다. 기울기벡터는 점 P에서 f의 미분계수라고도 한다.

예시를 들어보자, 아래는 이변수함수 f(x,y)이다. 이때 P=(x,y)에서 gradient f를 구하는 방법은 다음과 같다.


이렇게 확인할 수 있는 것은 x방면에서 보았을 때는 기울기 2의 직선의 모습을 관찰할 수 있고, y방면에서 보았을 때는 기울기 3의 직선을 확인할 수 있다는 것이다. 이것을 통해 우리는 다변수함수의 그래프 개형을 추측할 수 있다.
접평면(tangent plane)
z=f(x, y)의 편도함수가 모두 연속함수일 때, 이 함수의 그래프의 한 점 P=(x0, y0, z0)에서의 접평면은 다음의 식으로 정의한다.

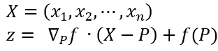
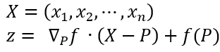
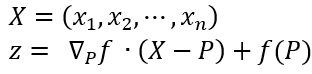
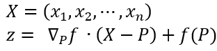
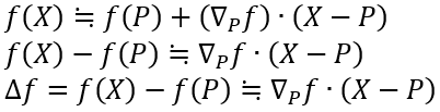
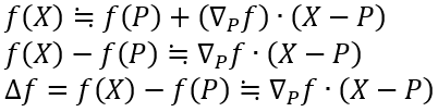
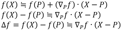
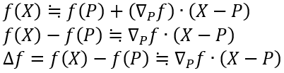
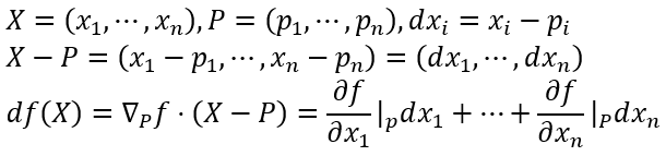
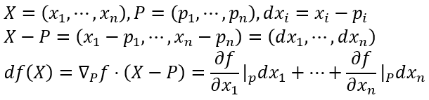
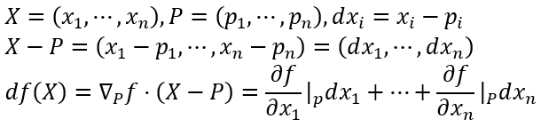
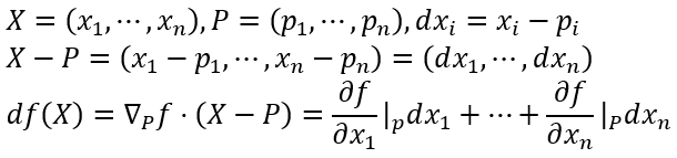
이를 이변수함수가 아닌 다변수함수에서 정의하기 위해 식을 다시 정리한다. X는 변수 벡터이고, P는 f를 지나는 점이라고 하자. 그렇다면 식은 아래와 같이 다시 정의된다.

이때 n이 3 이상이면 이는 접평면이 아니라 초평면이라고 한다.
1차 근사식
우리는 고등학교 때부터 근사식을 많이 보았다. 1차 근사식은 1계 미분함수만 사용하여 근사식을 만든 것이다. w=f(X)의 점 P에서의 일차근사식은 다음과 같다.

일차근사식은 f 함수가 복잡한 함수일 때 1차식으로 간단하게 계산하기 위해서이다. 근사식이므로 아래와 같은 식을 만족한다.

결국 우리는 함수의 실제 변화량 f(X)-f(P)의 근사식을 구한 것이다. 이를 우리는 df라고 정의한다. 이를 편미분을 통해 식을 전개할 수 있다. df(X)는 아래와 같다.

이를 통해 함수 f가 어느 변수에 영향을 크게 받는지 확인할 수 있다.
참고 문헌: 반전학습을 위한 다변수 미적분학(경문사)
'Mathematics > Calculus' 카테고리의 다른 글
| [Calculus] 합성함수 미분법 (0) | 2022.08.10 |
|---|---|
| [Calculus] 방향미분과 미분가능성 (2) | 2022.08.08 |
| [Calculus] 편미분 (0) | 2022.08.06 |
| [Calculus] 다변수 함수의 최대 최소 (1) | 2022.03.06 |
| [Calculus] 다변수 함수의 극한과 연속 (1) | 2022.02.28 |
댓글