다변수 함수의 극한과 연속
극한
저번에 이어서 이번에는 다변수 함수의 극한과 연속에 대해 알아보겠다. 극한에 대해 짧게 설명을 하자면, x가 a에 아주 가깝게 되면, f(x)가 L의 값에 가까워지게 된다는 뜻이다. 표기는 아래와 같이 한다.

수학을 공부하는 우리에게 이러한 설명은 의문을 갖게 한다. "가깝다는 기준이 뭐지?" 그래서 수학자들은 입실론 델타를 통해 증명을 한다. 이를 자세히 설명하지는 않겠지만 입실론과 델타라는 변수를 통해서 x가 a에 가까운 기준, f(x)가 L에 가까운 기준을 두는 것이다.
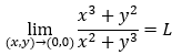
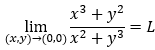
그럼 이제 다변수 함수의 극한의 예제를 보겠다. 아래 식은 x, y가 모두 0으로 접근할 때 극한값이 어떻게 되는지 확인하는 것이다. 한번 시간을 가지고 생각해 보면 좋을 것이다.

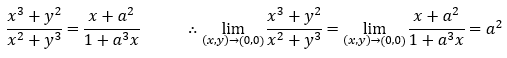
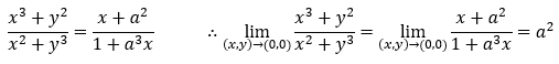
평소에 여러분들이 습관적으로 하게 되는 것은 저 x와 y에 모두 0을 넣는 것이다. 하지만 확인하면 알 수 있듯이, 저 값은 0/0의 모양을 하게 된다. 이때는 우리가 값을 확실히 알 수 없다. 그렇다면 y=ax라고 할 때, 위의 식은 아래와 같이 바뀐다.

이때 a에 따라 극한값은 바뀌게 된다. 이러한 경우 극한값이 하나로 정해지지 않기 때문에, 극한은 존재하지 않는다고 말한다.
연속
함수 f(x)에 대하여 x가 a에 대해 한 없이 가까워질 때 극한값이 f(a)라면 f(x)는 점 a에서 연속이라고 한다.

그리고 이 점 a가 실수 집합에 속해있는 임의의 실수라면, f(x)는 실수 집합에서 연속이라는 것을 알 수 있다.
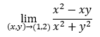
연속임을 보이는 예제 한 가지를 보자. f(x, y)가 (0,0)에서 연속임을 보이면 된다.


이번에도 습관적으로 0을 넣었다면 풀리지 않을 것이다. 먼저 f(x, y)식을 약분 가능한 형태로 바꿔줘야 한다. 아래와 같은 성질을 이용하여 식을 간단하게 만든다.

이후 풀이는 다음과 같다.



결국 극한값이 0이라는 것이라는 결론에 도달하고, 극한값과 함숫값이 0으로 일치하는 것을 확인할 수 있다. 따라서, 함수 f(x, y)는 (0,0)에서 연속이라고 할 수 있다.
연속함수의 성질
1) 상수함수는 연속함수이다.
2) 두 연속함수의 합과 곱은 연속함수이다.
3) 두 연속함수의 합성도 연속함수이다.
4) f(x, y)/g(w, z)의 경우에도 g(w, z) 함수가 0이 아니면, 연속함수이다.
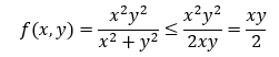
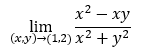
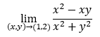
마무리 예제로 극한값 한 가지를 구해보겠다.

쉽게 구할 수 있을 것이다. x에 1, y에 2를 대입하면 -1/5라는 값이 나온다. 하지만 이때 이 함수가 연속인지를 먼저 확인하는 것이 중요하다. 4) 성질에 의하여 (0,0) 일 때 아래 식이 0이 되므로 연속하지 않는다. (0,0)을 제외한 점에선 연속이므로, 극한값을 함숫값으로 사용할 수 있다.
오늘은 여기까지 하도록 하고, 다음에는 다변수 함수의 최대 최솟값에 대해 적어보도록 하겠다.
오타나, 질문, 잘못된 부분이 있으면 언제든 문의 바랍니다.
'Mathematics > Calculus' 카테고리의 다른 글
| [Calculus] 방향미분과 미분가능성 (2) | 2022.08.08 | 
|---|---|
| [Calculus] 접평면과 근사식 (0) | 2022.08.07 | 
| [Calculus] 편미분 (0) | 2022.08.06 | 
| [Calculus] 다변수 함수의 최대 최소 (1) | 2022.03.06 | 
| [Calculus] 다변수함수 (3) | 2022.01.06 | 
 
										
									 
										
									 
										
									 
										
									
댓글