방향미분과 미분가능성
우리는 이전까지 편미분을 통해 좌표축과 나란한 방향의 함수의 변화율을 살펴보았다. x, y 방향의 변화율은 계산할 수 있었지만 우리가 원하는 방향의 변화율은 계산할 수 없었는데, 이를 해결할 방법이 바로 방향 미분이다.
방향미분
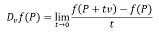
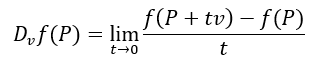
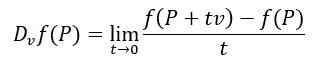
단위벡터 v와 열린 집합 U에서 정의된 함수 f에 대하여 한 점 P에서의 주어진 방향 v로의 순간변화율을 f의 v-방향미분이라고 한다.

이 식을 통해 다변수 함수의 방향미분을 계산하면 식이 복잡함을 알 수 있다. 이를 gradient를 통해 간단히 계산하기 위해 우리는 먼저 미분가능성을 알아보아야 한다.
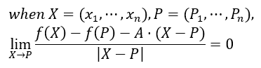
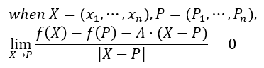
미분가능성
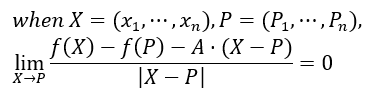
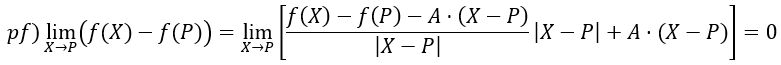
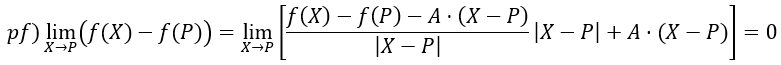
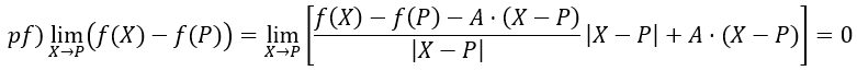
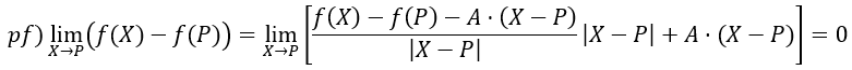
아래와 같은 식을 만족하는 벡터 A가 존재하면 f(X)가 점 P에서 미분 가능하다고 한다.

우리는 미분가능성과 방향미분간의 관계를 정리할 수 있다.

이에 대한 증명은 뒤에 Appendix에서 설명하도록 하겠다. 위의 정리를 통해 우리는 gradient를 통해서 간단히 방향 미분을 할 수 있게 되었다. 방향 미분의 정의를 알아두는 것도 중요하지만 문제를 풀 때는 gradient를 사용하도록 하는 것이 쉽다.
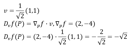
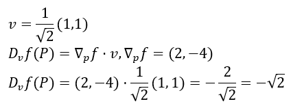
아래는 x^2+y^2의 그래프이다 점 P=(1,-2)에서 v방향으로의 방향미분을 구해보자.


또한 우리는 다음과 같은 정리를 발견할 수 있다.
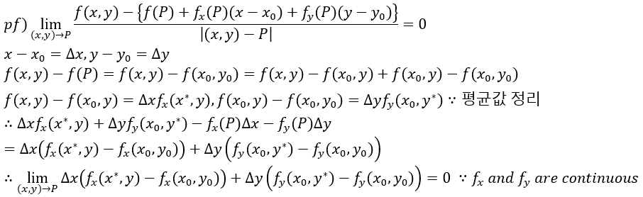
함수 f가 열린 집합 U에서 모든 편도함수를 다 가지며 편도함수가 모두 연속함수이면 f는 U에서 미분 가능하다.

위의 증명은 이변수함수일 때 증명한 것이다. 변수가 3개나 4개로 늘어나게 돼도 증명 방법은 동일하므로 생략한다.
Appendix
1)을 증명하려면 f(X)-f(P)의 극한이 0으로 가는 것을 보이면 된다.

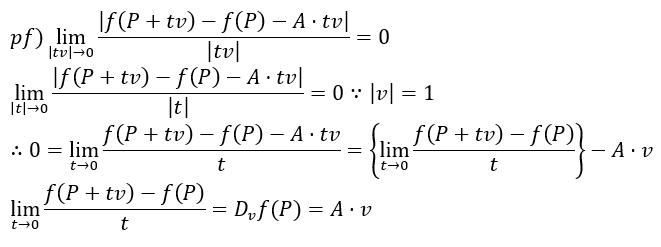
2) X = P + tv로 두면 f가 P에서 미분 가능하므로

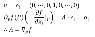
3) 위의 2)의 증명 마지막에서 v대신에 ei로 바꾼다고 생각해보자. ei는 i번째 성분만 1이고 나머지는 0인 표준단위벡터이다.

참고 문헌: 반전학습을 위한 다변수 미적분학(경문사)
'Mathematics > Calculus' 카테고리의 다른 글
| [Calculus] 다변수함수의 최대 최소 (0) | 2022.08.18 |
|---|---|
| [Calculus] 합성함수 미분법 (0) | 2022.08.10 |
| [Calculus] 접평면과 근사식 (0) | 2022.08.07 |
| [Calculus] 편미분 (0) | 2022.08.06 |
| [Calculus] 다변수 함수의 최대 최소 (1) | 2022.03.06 |
댓글