다변수함수의 최대 · 최소
수학에서는 항상 최대 최소 값을 구하고 싶어 한다. 공학자인 우리가 수학을 공부하는 이유도 그중에 하나일 것이다. 무엇이든지 최적의 값을 찾는 게 중요하기 때문이다. 최댓값에 대해 알아보려면 우리는 먼저 극값에 대해 먼저 알아야 한다.
극값 (local extreme value), 극점 (local extreme point)
열린집합에서 정의된 함수 f와 점 P에 대해 P를 포함하는 어떤 열린 공 B가 있어서 모든 점 X에 대해 f(P) <= f(X)이면 f가 P에서 극솟값(local minimum)을 갖는다고 하고 P를 f의 극소점이라고 한다. 부등호가 반대인 경우, 즉 f(P) >= f(X)이면 f(P)를 극댓값(local maximum), P를 극대점이라고 한다. 극댓값과 극솟값을 극값, 극대점과 극소점을 극점이라고 한다.
우리는 위의 내용을 고등학생 시절에도 배웠을 것이다. 극값, local extreme value는 영어로 해석하면 더 정확한데, 어느 한 부분에 대해서 local(지엽적으로) extreme value가 존재한다는 것이다. 우리는 local이라는 점에서 이것이 최댓값, 최솟값이 되지 않는다는 것을 확인할 수 있다.
임계점 (Critial Point)
어떤 점 P에서 적어도 한 방향의 편미분이 존재하지 않거나, f의 모든 편미분이 0이 되면, 즉 P점에서의 Gradient f가 (0, 0, ..., 0)이면 P를 f의 임계점이라고 한다.
이런 방법은 다변수함수가 아닌 경우에서도 똑같다. 우리는 임계점을 찾을 때 항상 미분을 하여 0이 되는 지점을 찾았다. 다변수함수로 가면서 바뀐 점은 편미분을 통해 모든 방향에서의 미분이 0이 되어야 한다는 것이다.
최댓값 (maximum), 최솟값 (minimum)
정의역의 모든 점 X에 대해 f(P) <= f(X)이면, f(P)를 최솟값, f(P) >= f(X)이면 f(P)를 최댓값이라고 한다. 말 그대로 다른 점들보다 P에서 제일 작거나 같으면 최솟값, 제일 크거나 같으면 최댓값이라고 한다.
안장점 (saddle point)
이변수함수 f(x, y)가 점 P에서 미분 가능하고, P에 대한 f의 Gradient가 (0, 0)이나 P가 극소점도 아니고 극대점도 아니면 안장점이라고 한다.
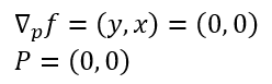
안장점은 우리에게 큰 혼란을 주는데, 미분값이 0이어서 최대나 최소라고 생각했던 점이 그 무엇도 아니기 때문이다. 예시를 들어보자. f(x, y) = xy라는 함수의 극점을 찾으면 아래와 같다.

하지만 (0, 0) 주변 열린 공을 확인하면 음수와 양수 모두를 포함하고 있으므로 극점이라고 보기 어렵다.

위의 사진을 보면 (0, 0) 지점에서 말의 안장과 같은 모습을 하는 것을 볼 수 있다. 그렇기에 우리는 이것을 안장점이라고 부른다.
헤세 행렬 (Hessian matrix), 헤세 행렬식 (Hessian determinant)
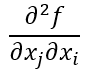
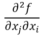
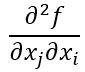
f(x1, ... , xn)의 헤세 행렬은 n x n 행렬로서 (i, j)항은 다음과 같다.

이 행렬의 행렬식을 헤세 행렬식이라 하고 Hf로 나타낸다. 따라서 헤세 행렬은 아래와 같다.

즉, 헤세 행렬은 벡터의 2계 미분이라고 볼 수 있다. 헤세 행렬식은 아래와 같이 전재할 수 있다.

한 점 P에서의 헤세행렬식의 값을 Hf(P)로 표기한다.
2차원에서 2계 편미분을 이용한 헤세 판정법을 정리해보자. 열린 집합 U에서 정의된 함수 f의 1계 및 2계 편도 함수가 모두 존재하고 연속이며 P에 대한 f의 Gradient가 (0, 0)이라고 하자.

이를 통해 P에서의 헤세 행렬식이 0보다 커야 극값이 존재하고, 0보다 작으면 안장점인 것을 알 수 있다. 만약 0이라면 판별할 수 없다.
헤세 행렬식을 통해 최대 최소 값을 판별하는 것은 중요하기 때문에 제대로 이해하고 넘어가야 한다. 또한, 안장점은 수학적으로, 공학적으로 중요한 부분으로 이를 해결하기 위한 많은 노력이 지속되어 왔다. 이것 또한 제대로 이해하고 넘어가면 좋을 것이다.
'Mathematics > Calculus' 카테고리의 다른 글
| [Calculus] 테일러 정리 (3) | 2022.08.29 |
|---|---|
| [Calculus] 라그랑주 승수법 (Lagrange Multiplier Method) (2) | 2022.08.22 |
| [Calculus] 합성함수 미분법 (0) | 2022.08.10 |
| [Calculus] 방향미분과 미분가능성 (2) | 2022.08.08 |
| [Calculus] 접평면과 근사식 (0) | 2022.08.07 |
댓글