다변수 함수(Multivariate Function)
오늘은 다변수 함수에 대해서 알아보려고 한다.
정의
먼저 위키피디아에서 확인할 수 있는 정의는 아래와 같다.
"수학에서, 다변수 함수(多變數函數, 영어: multivariate function)는 둘 이상의 독립 변수를 갖는 함수이다. 보통 다변수 실함수와 다변수 복소함수를 가리킨다."
우리는 평소에 독립 변수가 한 개인 함수를 많이 보았다. 예를 들어 y = ax + b라는 1차 함수를 보자. x는 이 함수의 독립 변수이고, y는 종속 변수를 의미한다. 말 그대로 x는 어떠한 영향을 받지도 않는 독립된 상태이고, y는 x의 값에 따라 바뀌므로 x에 종속된 상태이다.
이제 다변수 함수를 보면, x와 같은 독립 변수가 다변수 함수에는 여러개인 것을 의미한다. 예시로 원기둥의 부피 공식을 보자.

여기서는 종속 변수는 부피 V이고, 독립 변수는 반지름 r과, 높이 h이다. 독립 변수 두 개에 의해 결정되므로 이변수 함수라고 부른다.
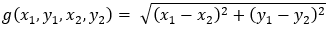
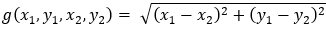
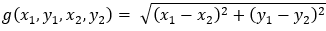
조금 더 설명이 필요한 사람을 위해 두 점 사이의 거리를 계산하는 공식을 예시로 들겠다.

위의 함수는 두 점을 독립 변수로 받아서 거리라는 종속 변수를 도출해 내는 것이다. 총 독립 변수가 4개인 다변수 함수이다.
그래프
이러한 다변수 함수도 그래프에 표기할 수 있다. 하지만 우리는 3차원으로밖에 시각적으로 표현할 수 없기 때문에 이변수함수까지만 그래프로 표기한다. 하지만 다변수 함수 모두 그래프로 정의가 가능하다.
아래와 같은 예시를 하나 보겠다. 아래는 이변수함수로, 각각 x, y, z 축을 의미한다.


이러한 그래프를 그리는 방법으로는 파이썬이나, 매틀랩 등이 있다. 손으로 그리고 싶을 때는 x나 y축을 고정시키고 다른 한 축의 그래프 모양을 그려나가면 된다. 예를 들어, y를 0으로 고정시키면 z = x^2라는 우리가 아는 평범한 곡선 그래프가 된다. 이를 이용해서 y가 0인 부근에 x^2 그래프를 그려 넣으면서 y값을 변경해가며 그래프의 모양을 찾아가면 된다.
우리는 그래프 뿐만 아니라 등위면을 통해 함수를 해석할 수 있다.
등위면이란 함수 f(x)와 어떠한 실수 c에 대해서 역상(inverse image)인 x의 집합을 의미한다. 이를 c-등위면이라고 부른다. 이변수 함수에서는 등위면이 곡선의 형태로 나타나므로 등위선(level curve)으로 부른다. 예를 들면 c가 5라고 하면 위의 그래프 예시로 나왔던 식에서 z = x^2+y^2이므로 (-1, 2), (1, 2), (-1, -2), (-1, 2)등 여러 점이 5의 값을 가질 수 있을 것이다. 그 점들을 그래프로 그린 것이 등위선이다. 아래 사진은 위에서 나온 그래프 함수의 등위선을 여러 c 값에 대해서 그린 것이다.

오늘은 다변수 함수의 정의와 그래프에 대해서 알아보았다. 다음 포스팅에서는 다변수함수의 극한과 연속에 대해 알아보겠다.
'Mathematics > Calculus' 카테고리의 다른 글
| [Calculus] 방향미분과 미분가능성 (2) | 2022.08.08 |
|---|---|
| [Calculus] 접평면과 근사식 (0) | 2022.08.07 |
| [Calculus] 편미분 (0) | 2022.08.06 |
| [Calculus] 다변수 함수의 최대 최소 (1) | 2022.03.06 |
| [Calculus] 다변수 함수의 극한과 연속 (1) | 2022.02.28 |
댓글