테일러(Talyor) 정리
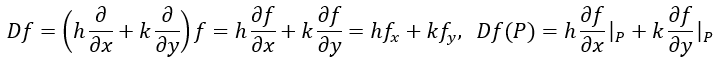
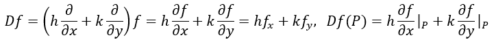
테일러 정리는 수학을 사용하는 학문이라면 필수적이라고 볼 수 있다. 테일러 정리는 근사값과 오차를 쉽게 구하는 방법으로 실용적인 부분이 많다. 우리는 변수가 두 개 이상인 다변수 함수에 대해서 구할 것이기 때문에 편미분을 간단히 표기하기 위해 D라는 기호를 다음과 같이 정의한다.

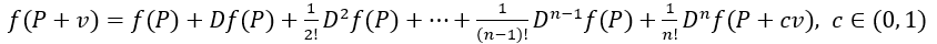
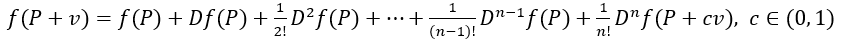
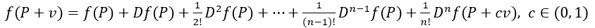
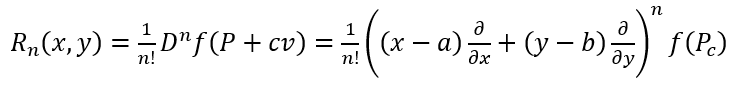
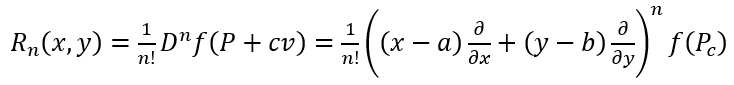
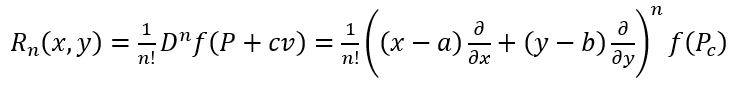
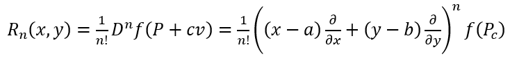
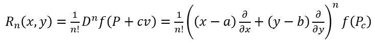
f(x, y)가 어떤 열린집합 U에서 (n + 1)번 미분가능한 함수이고, v = (h, k)라고 하자. U의 두 점 P = (a, b)와 P + v = (a + h, b + k)를 연결하는 선분이 U에 포함될 때, 즉 모든 t in [0, 1]에 대해 P + tv가 U에 속할 때, 다음 식을 만족하는 c가 존재한다.

이를 테일러 전개식이라고 한다.
위의 테일러 전개식에서

를 (n - 1)차 테일러 다항식, 혹은 (n - 1)차 근사식이라고 한다.

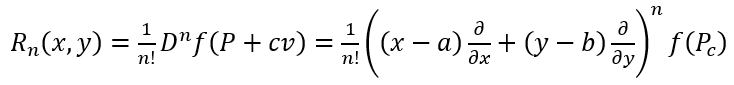
그리고 오른쪽의 나머지를 말 그대로 나머지항, 혹은 오차항이라고 한다.
아래 예시를 통해 확인해보자.


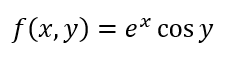
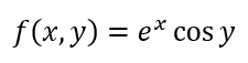
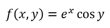
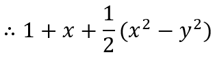
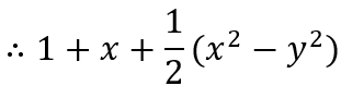
f(x, y)의 (0, 0)에서의 이차근사식과 오차항을 구해보자.

먼저 1차 미분과 2차 미분을 계산한다. 이를 통해 이차근사식을 구한다.

이를 차근차근 구해보면 아래와 같다.

따라서 2차 근사식은 아래 식과 같다.

또한 오차항은 3차 미분을 통해 구할 수 있다.


테일러 정리는 우리가 복잡한 식의 값을 구하기 어려울 때, 다항식의 꼴로 바꾸어서 근사값을 계산하기 쉽도록 하는 것이다. 이것은 공학 분야에서도 많이 사용되는 개념이며, 머신러닝, 딥러닝에서도 사용된다.
참고 문헌: 반전학습을 위한 다변수 미적분학(경문사)
'Mathematics > Calculus' 카테고리의 다른 글
| [Calculus] 이중적분 / 푸비니 정리 (1) | 2022.09.05 |
|---|---|
| [Calculus] 라그랑주 승수법 (Lagrange Multiplier Method) (2) | 2022.08.22 |
| [Calculus] 다변수함수의 최대 최소 (0) | 2022.08.18 |
| [Calculus] 합성함수 미분법 (0) | 2022.08.10 |
| [Calculus] 방향미분과 미분가능성 (2) | 2022.08.08 |
댓글