이중적분
고등학교에서는 적분을 하나의 변수에 대해서만 했을 것이다. 우리는 다변수 함수를 배웠기 때문에 여러 변수에 대해 적분을 진행할 수 있고, 변수 2개에 대하여 적분하는 것을 이중적분이라고 한다. 방법은 간단하다. 적분을 각 변수에 대해서 각각 1번씩 총 2번 적분하면 되는 것이다. 먼저 이중적분의 정의부터 알아보자.
이중적분
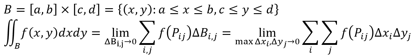
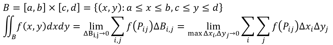
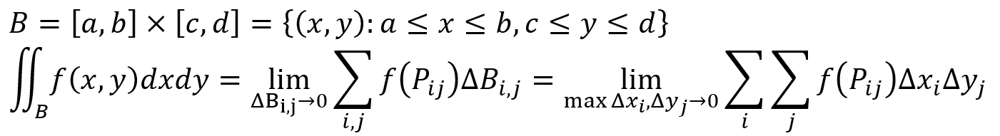
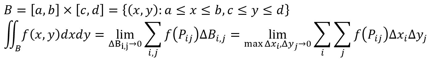
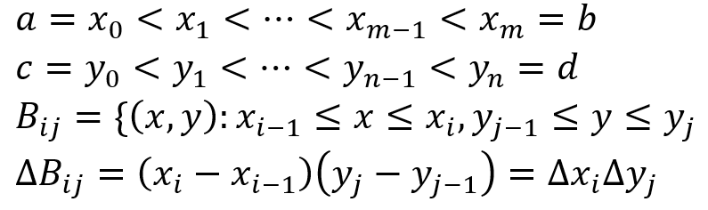
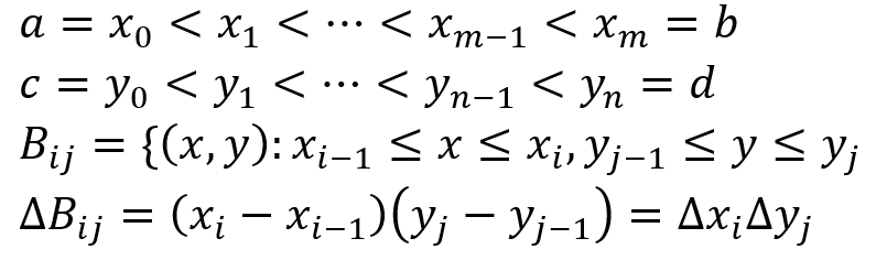
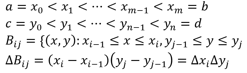
직사각형 모양의 영역 B에서 f(x, y)의 이중적분을 다음과 같이 극한값으로 정의한다.

이때 Bij는 다음과 같이 정의되고, Pij는 Bij 위의 한 점을 의미한다.

이중적분의 의미를 생각해보기 위해 다음 예시를 확인해보자.

f(x, y) = 5, B = {(x, y) : 0 <= y <= 2, 0 <= x <= 2} 일 때 f(x, y)의 B에 대한 이중적분을 구해보자.

이렇게 나온 결과는 f(x, y) = 5가 만들어내는 직육각기둥의 부피의 값과 동일하다.
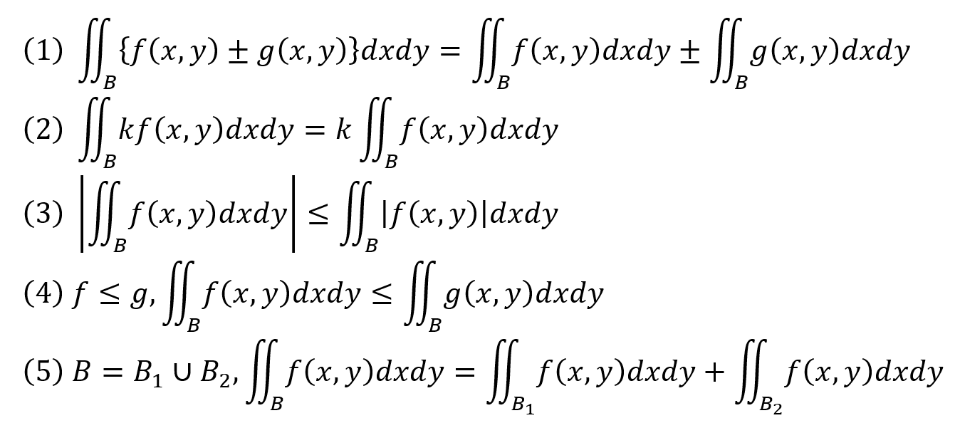
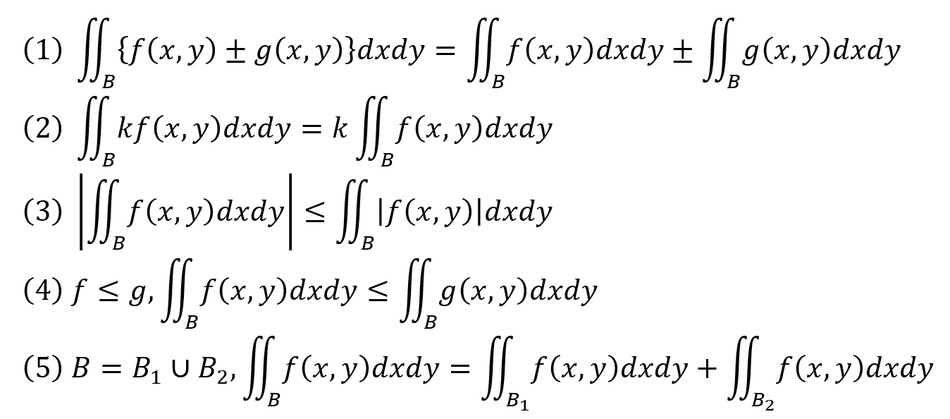
이중적분의 성질
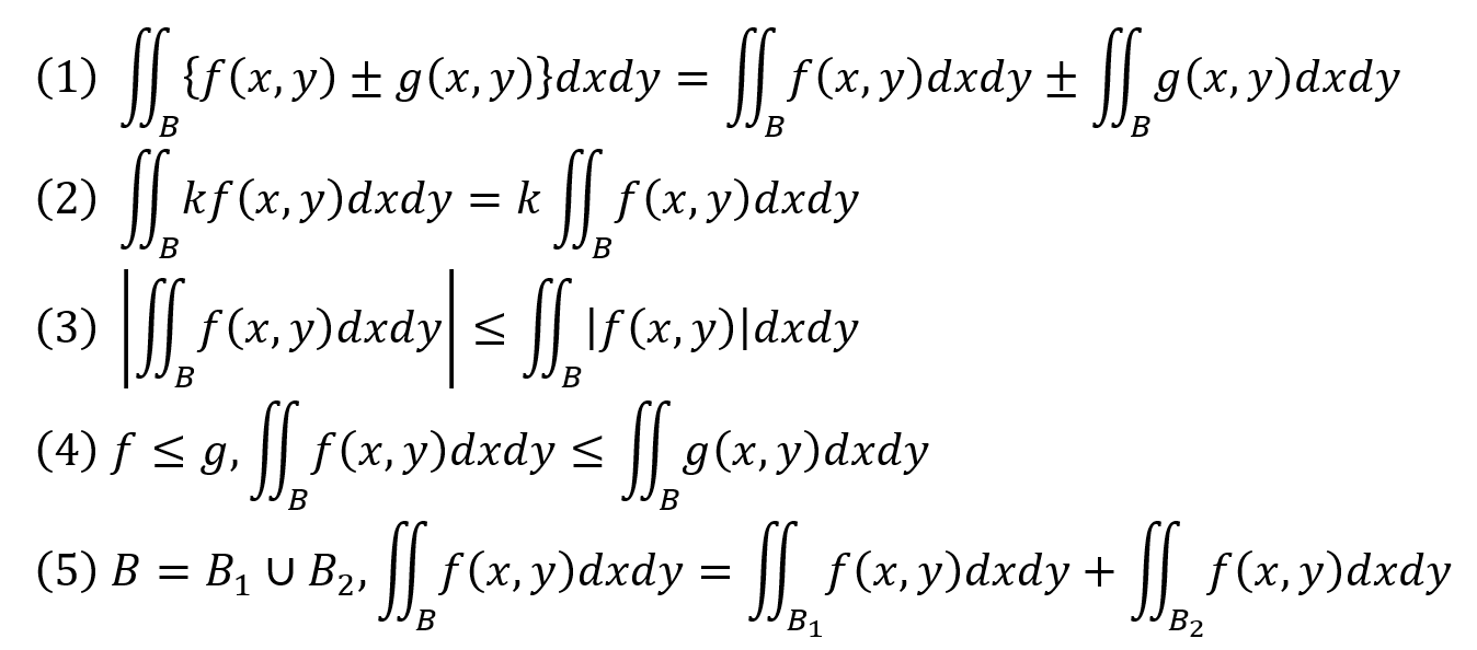
이중적분의 정의로부터 연속함수 f와 g, 그리고 상수 k에 대해 다음 등식이 성립함을 확인할 수 있다.

고등학교 때 배웠던 적분의 성질이 그대로 적용되는 것을 우리는 확인할 수 있다.
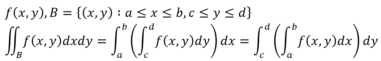
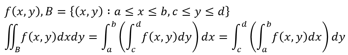
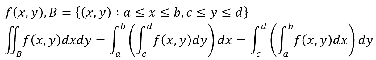
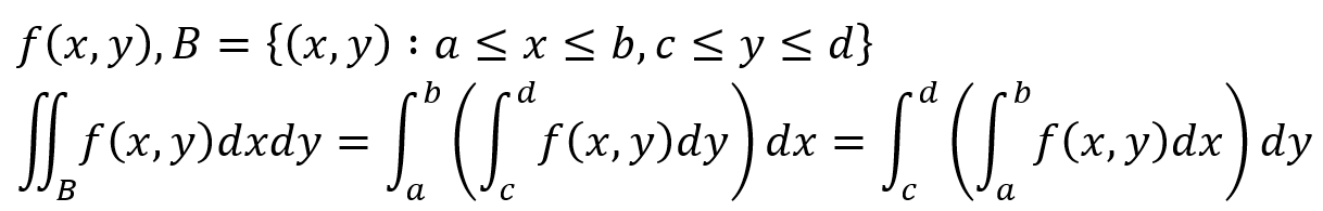
푸비니(Fubini) 정리
이중적분을 할 때마다 극한을 계산하는 것은 번거롭다. 그렇기 때문에 푸비니 정리를 사용하여 반복적분이라는 방법을 사용할 수 있다. 함수 f가 B 위에서 연속이면 아래 식을 만족하는 것을 푸비니 정리라고 한다.

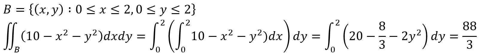
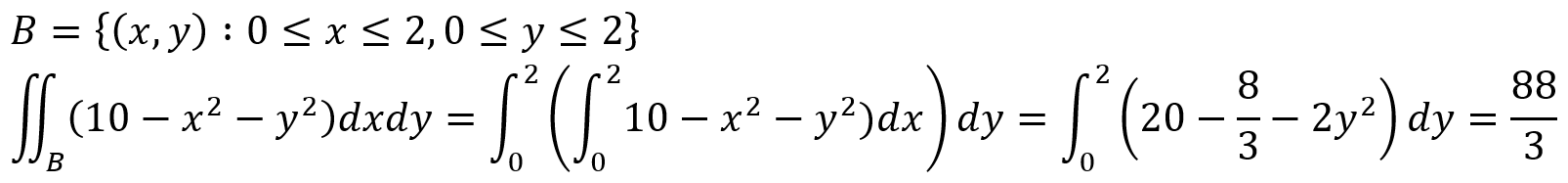
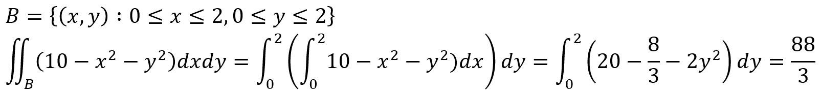
이를 예시를 통해 확인해보자. 다음 영역 B에 대하여 이중적분을 구해보자.

이렇게 구하게 되면 극한값을 이용하지 않아도 되며 식이 훨씬 간편해진다.
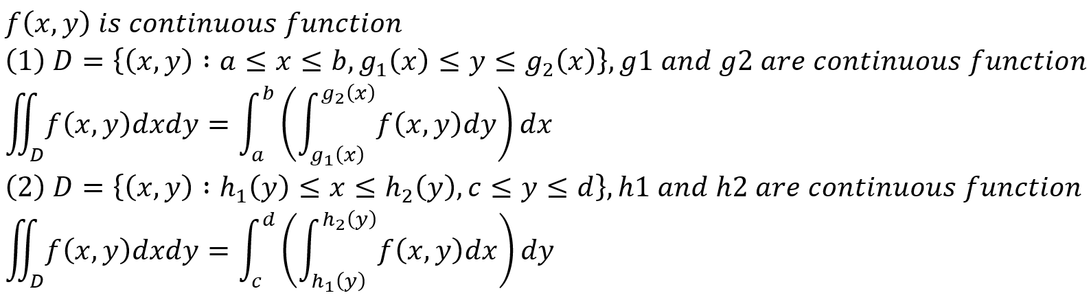
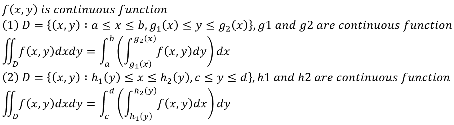
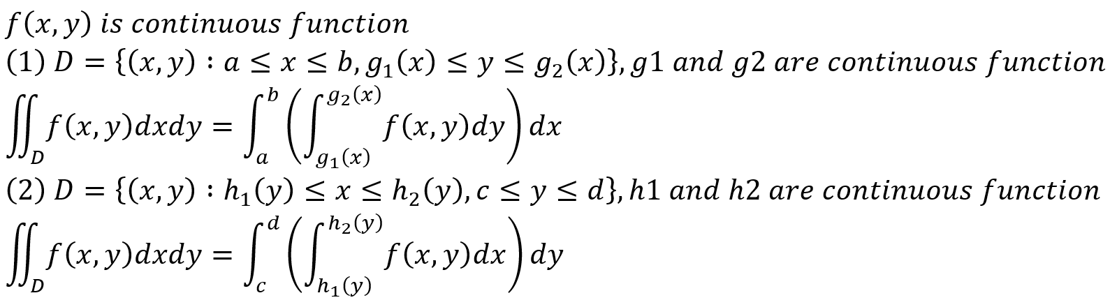
푸비니의 정리
f(x, y)가 연속함수 일 때 다음 2가지 식을 만족한다.

이를 통해 x가 y에 대해 표현되거나, y가 x에 대한 식으로 표현될 때 적분을 구할 수 있다.
평균 (average)
B라는 구간에서 f의 평균을 구하는 식은 다음과 같다.

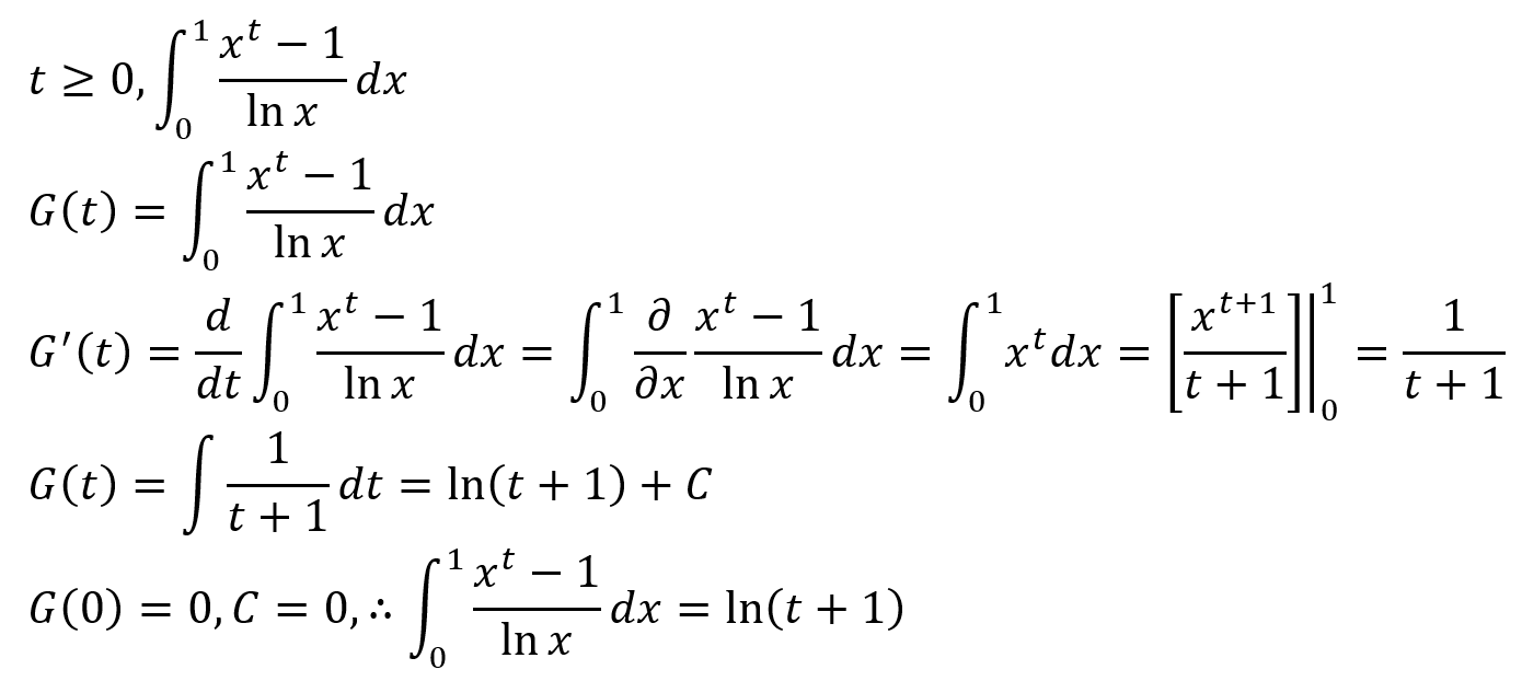
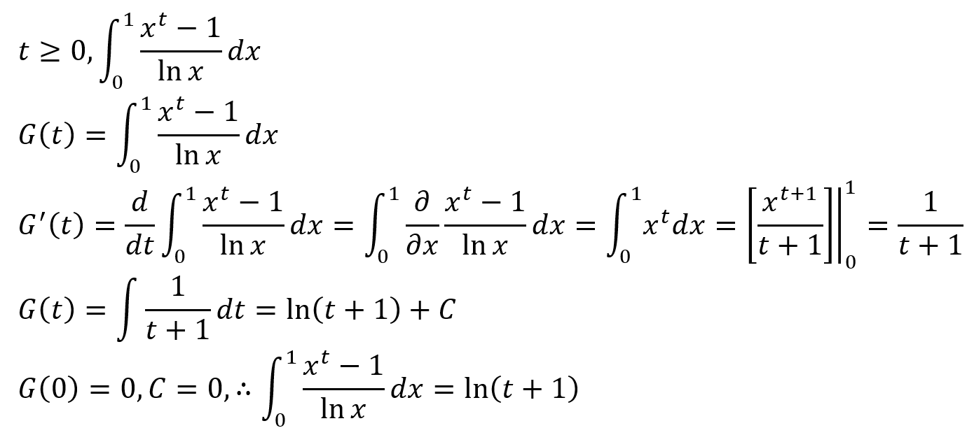
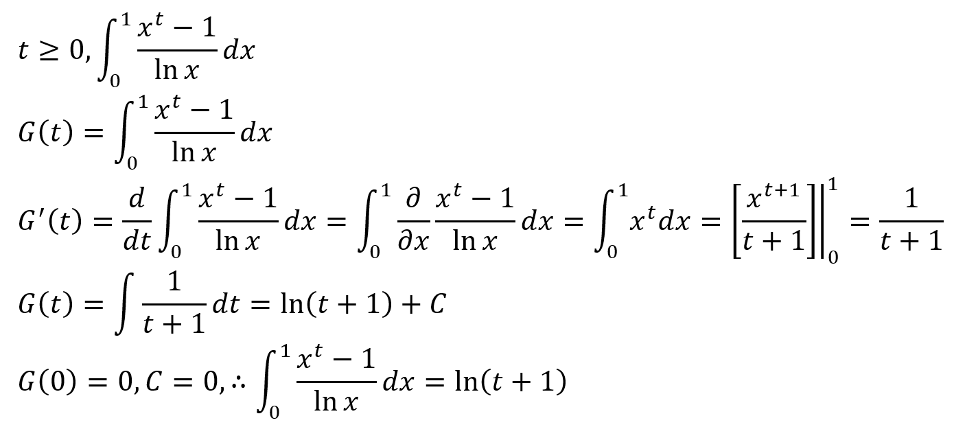
라이프니츠의 정리
f가 연속함수이고, 편미분 fx가 존재하고 연속하면 다음과 같은 식을 만족한다.

이것이 어디에 사용될지 짐작이 가지 않을 테니 다음과 같은 예시를 보자. 우리가 아는 적분 방법으로는 저 식을 풀기 어렵다. 그렇기 때문에 라이프니츠의 정리를 이용한다.

참고 문헌: 반전학습을 위한 다변수 미적분학(경문사)
'Mathematics > Calculus' 카테고리의 다른 글
| [Calculus] 테일러 정리 (3) | 2022.08.29 |
|---|---|
| [Calculus] 라그랑주 승수법 (Lagrange Multiplier Method) (2) | 2022.08.22 |
| [Calculus] 다변수함수의 최대 최소 (0) | 2022.08.18 |
| [Calculus] 합성함수 미분법 (0) | 2022.08.10 |
| [Calculus] 방향미분과 미분가능성 (2) | 2022.08.08 |
댓글